Worsening of lower urinary tract symptoms by proton beam therapy for prostate cancer is ameliorated by morning irradiation

Negoro H1, Iizumi T2, Mori Y2, Matsumoto Y2, Tsuchiya H1, Chihara I1, Hoshi A1, Sakurai H2, Nishiyama H1, Ishikawa H2

Research Type

Clinical

Abstract Category

Male Lower Urinary Tract Symptoms (LUTS) / Voiding Dysfunction

Abstract 272
On Demand Male Lower Urinary Tract Symptoms (LUTS) / Voiding Dysfunction
Scientific Open Discussion Session 22
On-Demand
Male Quality of Life (QoL) Prevention
1. Department of Urology, University of Tsukuba, Ibaraki, Japan, 2. Department of Radiation Oncology, University of Tsukuba, Ibaraki, Japan
Presenter
Links

Abstract

Hypothesis / aims of study
Proton beam therapy (PBT) for localized prostate cancer is a promising therapy since it has relatively low adverse events and keeps quality of life. On the other hand, it often induces lower urinary tract symptoms (LUTS) in an acute phase reaction, and the effective treatment for it has not been available, different from LUTS due to benign prostatic obstruction. Recently, it has been reported that the difference of time of day for irradiation has influence on the treatment efficacy and adverse events (ref.1), we investigated the influence of the time of day for PBT on the prostate cancer in our hospital.
Study design, materials and methods
One hundred sixty-eight patients out of 173 who had received PBT between 2013 to 2018 were analysed. International prostate symptom score (IPSS) was obtained 4 times; at baseline, during the last week of the PBT, after 3 months, and after 6 months. Clinical target volume (CTV) included the prostate and 1/3 caudal seminal vesicle (whole seminal vesicle for cT3b). Patients received 78 Gy in 39 fractions or 70 Gy in 28 fractions. The radiation time on the first day was not fixed because an initial orientation was needed. On the 2nd day of treatment, patients were scheduled to receive PBT at a specific time of day between 8:30 and 16:30. In general, low risk patients did not receive androgen deprivation therapy (ADT), while intermediate and high-risk patients received neoadjuvant ADT for six months. High risk patients continued ADT as an adjuvant therapy for a total of three years. Patients were grouped into three according to the time of irradiation: morning (08:30–10:30), around noon (10:31–14:30), and late afternoon (14:31–16:30). Factors significantly associated with changes in IPSS score from the baseline to the end of PBT were assessed using multiple linear regression analysis, including age, NCCN risk classification, ADT, fractional PBT dose, clinical target volume (CTV), severity of IPSS, LUTS medication use before PBT, diabetes, anti-coagulant therapy and RT time of day.
Results
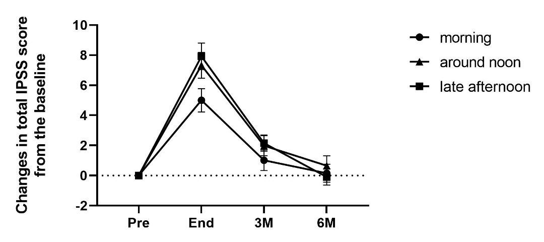
The number of patients within each group (by time of PBT: morning, around noon, and late afternoon) was 52, 64 and 52, and the median age was 68, 67 and 68.5, respectively. The difference of total IPSS change of the last week of the PBT from the baseline was 5±0.77, 7.33±0.86, 7.92±0.87 (Figure 1), and that of IPSS-QoL was 0.52±0.15, 1.18±0.16, 1.24±0.24. Time of day (morning) was the only determinant factor (β=-0.24, p=0.008 and β=-0.27, p=0.004). These significant differences of the time of day were not observed at 3 months or 6 months (Figure 1).
Interpretation of results
Our findings suggest that the morning proton beam therapy for localized prostate cancer can ameliorate the worsening LUTS and QoL in the acute phase compared with the treatment around noon or late afternoon.
Concluding message
Chronoradiation therapy for prostate cancer may be an effective way to ameliorate worsening LUTS in the acute phase, further prospective clinical study and basic research are necessary to establish a higher level of evidence and to investigate the mechanism of this effect.
Figure 1 Figure 1 Changes in total IPSS score from the baseline. Pre, Pre-radiation (baseline); End, the last week of the radiation therapy.
References
  1. Is it Time to Change Radiotherapy: The Dawning of Chronoradiotherapy? Harper E, Talbot CJ Clin Oncol (R Coll Radiol) 31:326-335 2019
Disclosures
Funding None. Clinical Trial No Subjects Human Ethics Committee The Institutional Review Board at the University of Tsukuba Hospital (H29-135) Helsinki Yes Informed Consent Yes
14/10/2025 22:23:54