Pre-operative prolapse phenotype identified through machine learning predicts surgical outcomes in women with POPQ stage 3-4 uterovaginal prolapse undergoing sacrocolpopexy

Lowder J1, Zhao P1, Bradley M2, Giugale L2, Xu H1, Abramowitch S3, Bayly P1

Research Type

Pure and Applied Science / Translational

Abstract Category

Pelvic Organ Prolapse

Abstract 197
Biomechanics and Applied Science
Scientific Podium Short Oral Session 12
Thursday 8th September 2022
17:07 - 17:15
Hall D
Biomechanics Mathematical or statistical modelling Pelvic Organ Prolapse Surgery
1. Washington University in St Louis, 2. University of Pittsburgh School of Medicine, 3. University of Pittsburgh
In-Person
Presenter
Links

Abstract

Hypothesis / aims of study
Apical vaginal support is referred to as the “keystone” to pelvic organ support and up to 50% of anterior vaginal wall support loss has been attributed to vaginal apical support loss. [1,2] Sacrocolpopexy, whether abdominal or minimally invasive, has been considered the “gold standard” treatment for advanced pelvic organ prolapse and a recent study has shown that laparoscopic supracervical hysterectomy compared to total hysterectomy (vaginal or minimally invasive) at time of sacrocolpopexy resulted in a higher incidence of prolapse recurrence. [3] We aimed to develop a clinical prediction model to determine the vaginal apical support, as assessed in centimeters using the Pelvic Organ Prolapse Quantification (POPQ) examination, needed to address anterior and posterior vaginal wall support loss in women undergoing minimally invasive sacrocolpopexy utilizing a large surgical database. The hypothesis of this study is that pre-operative biodemographic variables can be used to determine the surgical apical support needed to address anterior and posterior vaginal wall prolapse and result in POPQ stage <2 post-operative support.
Study design, materials and methods
A large multi-institutional surgical database of minimally invasive sacrocolpopexies including pre- and post-operative variables was utilized. Unsupervised machine learning was used to categorize participants and investigate the association between the cluster and outcome. The K-means clustering analysis was performed with pre-operative POPQ points and stratified by prior hysterectomy status (yes/no). Analysis was limited to women with "advanced” prolapse (pre-operative POPQ stage 3-4 in this study). The dichotomous “ideal” outcome was defined as (“1”) if there was a ≥3 stage change vs (“0”) if there was a <3 stage change by the POPQ system between pre- and post-operative POPQ stage. In women with pre-operative POPQ stage 3-4, this definition resulted in the “ideal” postoperative outcome of POPQ stage <2 support. Demographic variables were compared by cluster groups using Student’s t-test and Chi-squared tests. Odds ratios were calculated to determine if clusters based on pre-operative POPQ points could predict the outcome. The age at surgery and Body Mass Index (BMI) were used for adjusted odds ratio.
Results
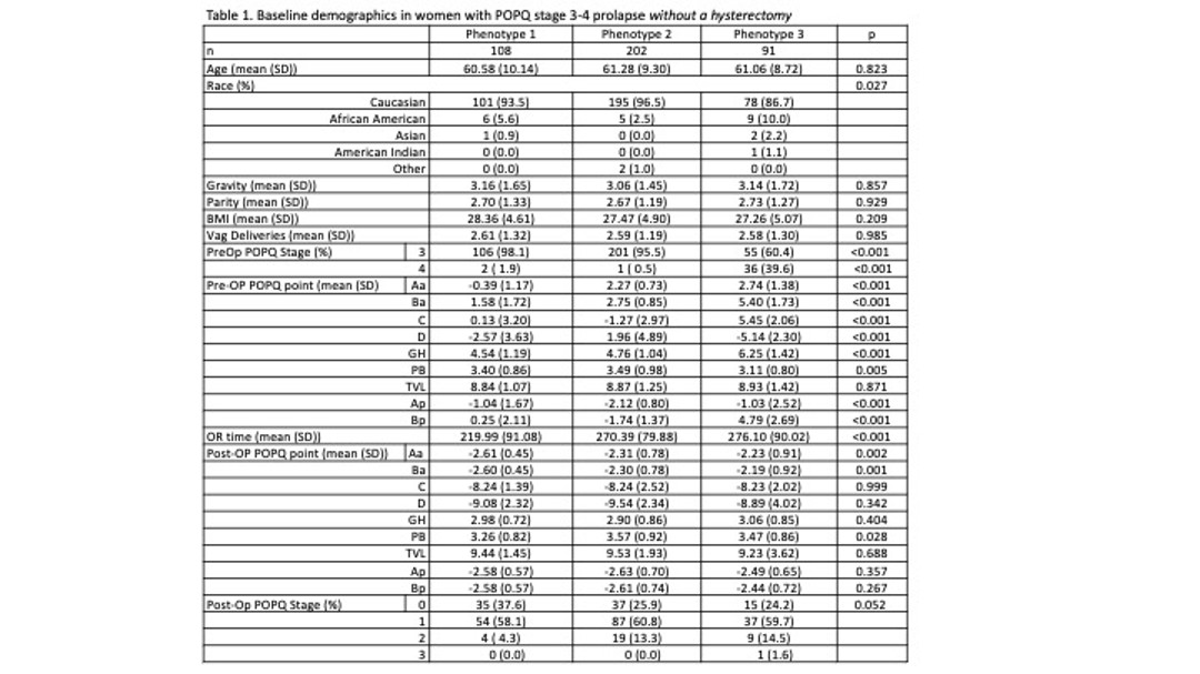
There were 698 participants that had POPQ stage 3-4 prolapse pre-operatively (401 uterovaginal prolapse, 297 vaginal vault prolapse). In those with POPQ stage 3-4 prolapse, 3 statistically distinct prolapse clusters (subsequently referred to as prolapse phenotype) were identified by POPQ points in those who had uterovaginal prolapse and 3 distinct clusters in those who had vaginal vault prolapse (Figure 1). In women with uterovaginal prolapse (UVP), there was a statistically significant difference only in ethnicity, pre-operative POPQ stage and OR time by anatomic phenotype (Table 1). In women with vaginal vault prolapse there were no statistically significant differences in bio demographical variables except for pre-operative POPQ stage. 

For women with UVP, pre-operative prolapse phenotype was predictive of surgical outcome by minimally invasive sacrocolpopexy. Phenotype 1 is anterior vaginal wall-predominant with the apex near the introitus, Phenotype 2 is anterior wall-predominant with some preserved apical and posterior vaginal wall support, and Phenotype 3 is apical-predominant with loss of both anterior and posterior vaginal wall support (Figure 1). Post-operatively, participants with prolapse phenotype 1 (cluster 1) were more likely to have POPQ stage ≤1 support (95.7%, aOR=1) compared with phenotype 2 (86.7%, aOR=0.29, 0.09-0.89, p=0.02) and phenotype 3 (83.9%, aOR=0.23, 0.06-0.78, p=0.02). By “ideal” surgical outcome, participants with POPQ stage 0-1 support post operatively had, on average, ~1cm better support at points Aa and Ba (-2.50 vs -1.53, and -2.49 vs -1.50, respectively, p<0.001), >0.5cm better support at points Ap and Bp (-2.65 vs -2.15, and -2.65 vs -1.97, respectively, p<0.001), a GH ~1cm smaller (2.86 vs 3.70, p<0.001), and were 7.0-fold more likely to have had a midurethral sling (RR=6.97, p=0.01) compared to those with stage ≥2  support (worse support). There was not a statistically significant difference between postoperative point C or TVL between phenotypes but there was a statistically significant difference between the delta of the POPQ point pre-C to post-C for phenotypes 1 vs 2 vs 3 (-8.17 vs -6.84 vs -13.55cm, respectively, p<0.001). Perineorrhaphy rates were very low and were not significant between outcome groups. For women with prior hysterectomy, anatomic phenotype was not predictive of outcome after minimally invasive sacrocolpopexy.
Interpretation of results
In a large surgical database of women with pelvic organ prolapse, 3 distinct anatomic phenotypes based on pre-operative POPQ points were found in women with advanced uterovaginal prolapse who underwent minimally invasive sacrocolpopexy. Phenotype 3 represented the most advanced prolapse with all 3 compartments prolapsed >4cm on average past the hymenal remnant. Phenotype 2 had anterior-predominant vaginal prolapse with more preserved apical support compared to Phenotype 1 which was also anterior-predominant but had more apical and posterior wall prolapse compared to 2. These phenotypes were found to be predictive of post-operative support with different odds of obtaining the “ideal” surgical outcome of stage <2 support based on the phenotype. Concomitant midurethral sling at time of minimally invasive sacrocolpopexy was significantly associated with the “ideal” outcome of stage ≤1 support, likely due to addressing distal anterior vaginal wall support. For women with pre-operative POPQ stage 3-4 vaginal vault prolapse, three phenotypes were identified but they were not predictive of the postoperative surgical outcome.
Concluding message
In women with POPQ stage 3-4 uterovaginal prolapse, there appear to be 3 anatomic phenotypes that can be determined using the pre-operative POPQ and which are associated with different odds of anatomic surgical success when treated with minimally invasive sacrocolpopexy. Further work needs to confirm the presence and predictive nature of these 3 POPQ-based anatomic phenotypes and whether the 3 phenotypes represent merely a progression of prolapse or if they represent 3 discrete prolapse presentations resulting from different anatomic and life course risk profiles. Ultimately, this information may be useful in surgical counseling and planning.
Figure 1 Figure
Figure 2 Table
References
  1. Brubaker L, Glazener C, Jacquetin B, Maher C, Melgrem A, Norton PA, Rajamaheswari N, Von Theobald P. Surgery for pelvic organ prolapse. International Continence Society (ICS) Prolapse Committee; 2008. pp. 1273–320.
  2. Lowder JL, Park AJ, Ellison R, Ghetti C, Moalli P, Zyczynski H, Weber AM. The role of apical vaginal support in the appearance of anterior and posterior vaginal prolapse. Obstet Gynecol. 2008 Jan;111(1):152-7. doi: 10.1097/01.AOG.0000297309.25091.a0. PMID: 18165404.
  3. Gupta A, Ton JB, Maheshwari D, Schroeder MN, Small AN, Jia X, Demtchouk VO, Hoke TP, Murphy M. Route of Hysterectomy at the Time of Sacrocolpopexy: A Multicenter Retrospective Cohort Study. Female Pelvic Med Reconstr Surg. 2022 Feb 1;28(2):85-89. doi: 10.1097/SPV.0000000000001087. PMID: 34333501.
Disclosures
Funding Collaboration Initiation Grant in Women’s Health Technologies, Departments of Biomedical Engineering and Obstetrics and Gynecology Clinical Trial No Subjects None
Citation

Continence 2S2 (2022) 100286
DOI: 10.1016/j.cont.2022.100286

26/02/2026 12:41:36