A Study on the Correlation between Excessive Sugar Intake and Overactive Bladder (OAB) in Children: A Short-term Single-center Cohort Study Based on Lower Urinary Tract Symptom Scores

Xu C1, Bochao W1, Bingqian Y1, Chaoming Z1

Research Type

Clinical

Abstract Category

Paediatrics

Abstract 540
Open Discussion ePosters
Scientific Open Discussion Session 105
Friday 19th September 2025
13:05 - 13:10 (ePoster Station 2)
Exhibition
Clinical Trial Overactive Bladder Pediatrics
1. Fujian children‘s hospital
Presenter
Links

Abstract

Hypothesis / aims of study
To explore the potential association between overactive bladder (OAB) in children and excessive sugar intake, and to analyze its impact on OAB symptoms and urine flow rate, aiming to provide new insights into the etiology of pediatric OAB.
Study design, materials and methods
This study enrolled 97 pediatric patients diagnosed with OAB in the urology department of our hospital from July 2024 to September 2024, including 71 males and 26 females. According to the standards of the "Dietary Guidelines for Chinese Residents 2022," daily additional sugar intake ≥ 50g was defined as excessive sugar intake. The Akbal C score[1] and OABSS score were used to assess the patients' lower urinary tract symptoms. Baseline data (including age, gender, weight, etc.), symptom scores, grades, and urine flow rates were statistically analyzed for both groups.
Results
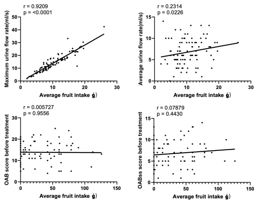
There were no significant differences in gender, age, weight, height, BMI, age of daytime and nighttime diaper weaning, delayed voiding, symptom onset time, average urine flow rate, or maximum urine flow rate between the two groups (P > 0.05). However, the incidence of urinary frequency and urgency, daytime voiding frequency, and sensation of incomplete bladder emptying scores were higher in the excessive sugar intake group compared to the non-excessive sugar intake group (P < 0.05). Furthermore, the duration of excessive sugar intake and the average daily sugar intake from fruits were positively correlated with both average and maximum urine flow rates (P < 0.05), suggesting a potential link between sugar intake and changes in bladder function. Binary and multiple logistic regression analyses further revealed that the average daily sugar intake from carbonated beverages was significantly associated with dry OAB (P = 0.008).
Interpretation of results
Primary overactive bladder (OAB) in children is a common functional bladder disorder during childhood. However, the exact causes of its onset remain incompletely understood[2]. Among the children admitted to our outpatient department, a high proportion of them had excessive sugar intake recently.The latest study by Lee et al. [3] has shown that a high - fructose diet during the postpartum period can induce high - metabolic syndrome and overactive bladder (OAB) symptoms in adult mice, and this effect is positively correlated with the fructose intake. Therefore, we speculate that high - sugar intake may be an important contributing factor for OAB in children. In this study,the proportion of diagnoses of frequent urination, urgency, and dry OAB was higher in the excessive sugar intake group. Moreover, excessive sugar intake had the most significant impact on the number of daytime urinations in the OAB symptom score (OABss), and the proportion of severe frequent urination was also higher. The average daily sugar intake from fruits and the duration of excessive sugar intake were positively correlated with the average and maximum urine flow rates. This may be related to the effect of fructose, the main sugar component in fruits, on the contractility and stability of the bladder.
Concluding message
This study demonstrates that excessive sugar intake is closely associated with the occurrence of dry OAB in children, exacerbating symptoms such as urinary frequency and sensation of incomplete bladder emptying. Additionally, prolonged sugar intake and increased average daily sugar intake from fruits are correlated with improved urine flow rates, potentially reflecting increased bladder instability and overactivity. This study provides a scientific basis for sugar-controlled diets in children with OAB and offers new perspectives for the treatment of pediatric OAB.
Figure 1 Figure 1. Correlations between sugar intake duration and average urine flow rate, maximum urine flow rate, OAB symptom score (OABss), and Akbal C OAB score.
Figure 2 Figure 2. Correlations between the average intake of fruits and the maximum urine flow rate, average urine flow rate, OAB symptom score (OABss) before treatment, and Akbal C OAB score.
References
  1. 1.Akbal, C., Sahan, A., Sener, T. E., Sahin, B., Tinay, I., Tarcan, T., & Simsek, F. (2014). Diagnostic value of the pediatric lower urinary tract symptom score in children with overactive bladder. World Journal of Urology, 32(1), 201-208. doi:10.1007/s00345-013-1224-y.
  2. Xing, D., Wang, Y. H., Wen, Y. B., et al. (2020). Prevalence and risk factors of overactive bladder in Chinese children: a population-based study. Neurourology and Urodynamics, 39(2), 688-694. DOI: 10.1002/nau.24251.
  3. Lee, W. C., Wu, K. L. H., Tain, Y. L., Leu, S., Cheng, Y. T., Chan, J. Y. H. (2023). Impaired insulin signaling at the bladder mucosa facilitates metabolic syndrome-associated bladder overactivity in rats with maternal and post-weaning fructose exposure. Journal of the Formosan Medical Association, 122(3), 258-266. doi: 10.1016/j.jfma.2022.09.013.
Disclosures
Funding Fujian Provincial Natural Science Foundation (2024J011124); Provincial Medical Innovation Double High-Level Project (ETK2022003 and ETK2023007). Clinical Trial Yes Registration Number ChiCTR2200056289 RCT No Subjects Human Ethics Committee 2024ETKLRK09022 Helsinki Yes Informed Consent Yes
10/02/2026 02:39:31