Hypothesis / aims of study
Risk factors for upper urinary tract dysfunction, such as low-compliance bladder (LCB) and detrusor overactivity, must be evaluated using videourodynamics (VUDS) in patients with spina bifida (SB). However, whether VUDS should be performed on all patients remains controversial. This study aimed to investigate the association between the risk factors for upper urinary tract dysfunction and cystography parameters.
Study design, materials and methods
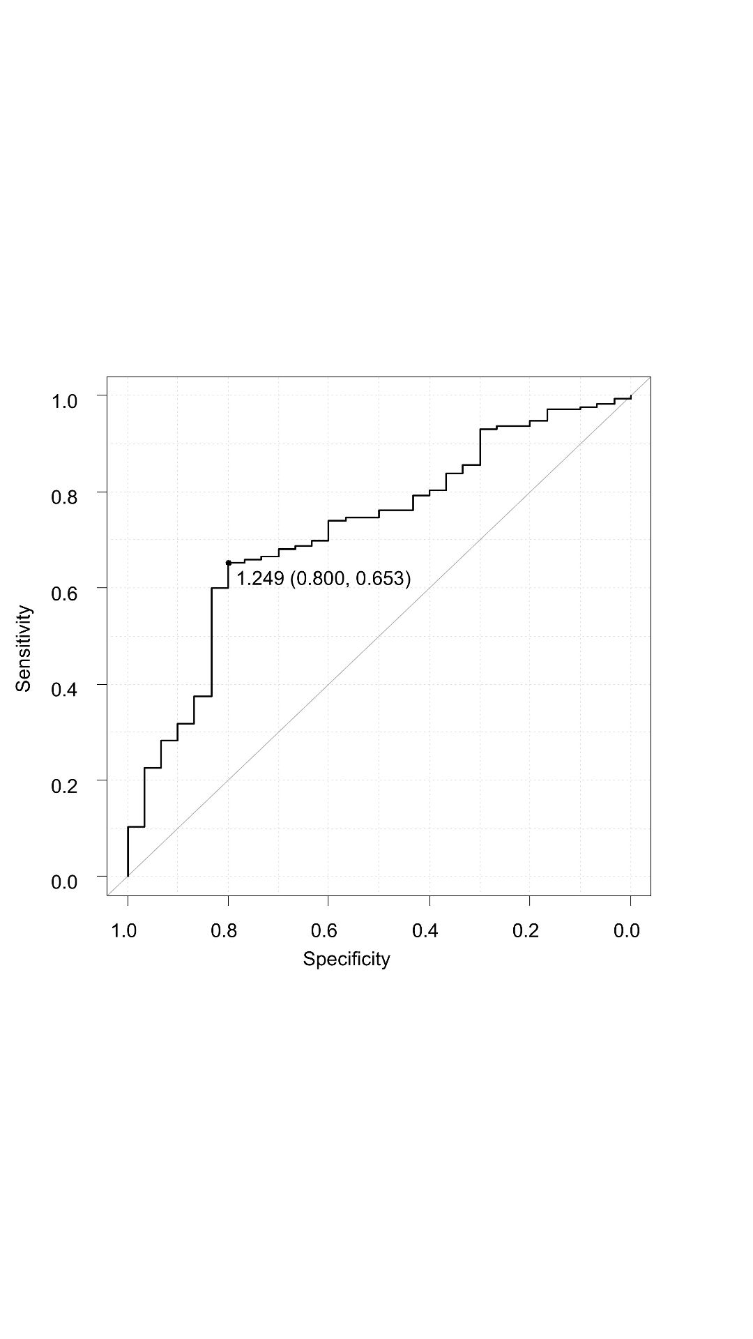
This retrospective study included 50 patients with SB who underwent VUDS at our institution between 2007 and 2024. We investigated the relationship between urodynamic and cystographic parameters. The height-to-width ratio (HWR) of cystograms at maximum capacity is reportedly an indicator of a high-pressure bladder (1); therefore, we measured the ratio. LCB was defined as <20 mL per cm H2O. The correlation between the LCB and HWR was examined using Spearman’s correlation coefficient. Receiver operating characteristic (ROC) curve and area under the curve (AUC) were determined to distinguish between patients with and without a LCB.
Results
Fifty patients (31 men and 18 women) underwent 283 VUDS procedures at our institution. The median age at the first visit was one year (interquartile range; 0–5 years). SB was classified as myelomeningocele, lipoma or filum terminal lipoma, occurring in 26 (52%), 16 (32%), and 8 (16%) cases, respectively. There was a negative correlation between bladder compliance and HWR (r=-0.30, P <0.001 (Fig.1)). Using the ROC analysis, HWR >1.25 was the best cut-off point to predict LCB (AUC; 0.72 (Fig.2)).
Interpretation of results
In patients with SB, VUDS may be more useful than cystography, which does not provide information on intravesical pressure. However, VUDS may be unavailable in some institutions, and the results may be difficult to interpret. Our findings suggest that a large HRW on cystography may be a risk factor for LCB.